近日,陕西省公务员局发布陕西省2025年从优秀村(社区)干部中考试录用乡镇(街道)机关公务员公告,其中高陵区4人进入面试。

按照《陕西省2025年从优秀村(社区)干部中考试录用乡镇(街道)机关公务员公告》,现将笔试成绩查询和面试工作有关事项公告如下。
一、笔试成绩查询
考生凭身份证号和准考证号登录陕西人事考试网(http://www.sxrsks.cn)查询本人笔试成绩。为确保录用人员的基本素质,划定笔试成绩最低控制分数线为53分。
二、参加面试人员
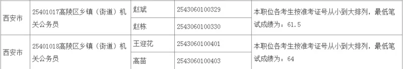
按考生报考职位,依笔试成绩从高到低的顺序,在最低控制分数线之上,按不多于录用计划数的2倍确定进入面试人员。按职位排序出现笔试成绩并列的,并列者同时确定为面试人员。
三、面试时间地点
面试时间:2025年11月22日(星期六),分上、下午场次进行。
11月22日上午面试开始时间为8:00,7:10考生集合、点名,7:30组织考生抽签。
11月22日下午面试开始时间为14:00,13:10考生集合、点名,13:30组织考生抽签。
抽签开始后,迟到考生不得进入抽签现场,按缺考处理。
面试地点:西北饭店(西安市长安区西长安街52号)。
四、注意事项
1.考生参加面试时,需带本人笔试准考证、身份证原件。
2.参加面试的考生应提前查询交通路线,合理安排路途时间,按要求准时到达,并注意交通安全。
3.请考生认真阅读《面试考生须知》。
五、公布成绩及进入体检人员情况
11月23日将在陕西省人民政府门户网、陕西党建网、陕西先锋网公布面试人员的笔试成绩、面试成绩、综合成绩及进入体检人员情况。
陕西省公务员局
2025年11月18日
面试考生须知
1.抽签开始后,迟到考生不得进入抽签现场,按缺考处理。
2.考生着装应得体,不得佩戴具有可识别特征的物品。
3.考生应自觉关闭通讯工具,按要求统一封存。对面试封闭区域内使用通讯工具的考生,按考试违纪有关规定处理。
4.考生按预分组抽签确定面试次序。抽到1号签的考生代表本组考生抽取面试考场序号。
5.考生应服从工作人员安排,面试前自觉在候考室候考,不得随意离开候考室;面试时由引导员按次序引入考场。
6.考生进入考场后应保持沉着冷静,自觉配合主考官进行面试。没有听清试题时,可以向主考官询问。
7.考生在面试中不得介绍姓名、身份证号、准考证号,以及任职情况等个人信息。
8.本次面试采取结构化面试方式,面试时间为12分钟。面试结束后在考场外等候公布成绩。听取面试成绩后,考生应签字确认。
9.考生应自觉保守试题秘密。考生面试结束后应离开考区,不得在考区大声喧哗、谈论考试内容;不得向他人传递面试信息或扩散面试试题内容。
10.考生必须遵守面试纪律。对违反面试纪律者,将根据《公务员录用违规违纪行为处理办法》的规定,视情节轻重给予相应处理。有组织作弊、冒名顶替等严重违规违纪行为的,将终身不得报考公务员,并记入诚信档案。


陕公网安备61012602000021号